切勿因小失大,为了这张小小的标签吃大亏
很多人不把这小小“MADE IN CHINA”标签当回事,结果吃了大亏。
此前就有一家企业出口到美国,结果也是因为没有“Made in China”的标签,被美国海关勒令退回!损失来回的运输费不说,交货期也被严重耽搁!

还有一家企业,由于忘贴原产地标签,被当地海关查到了,被处以4000美金的罚金!

根据美国消费品安全法案(CPSIA),所有出口到美国的消费品都需要有2个溯源标签:
标注“MADE IN CHINA”; 标注具体的产地和批号以便和其他产品分开,出现问题后可以溯源追踪。
原产地标签必须为英文字样,必须显而易见、易于识别,标注原产地标签的方式需合理,且符合美国海关标准。美国洛杉矶口岸海关尤其严格,对不符合要求的货件经常有扣关现象。一旦因为原产地标签问题被扣关,只有两种处理方式:退运或销毁。
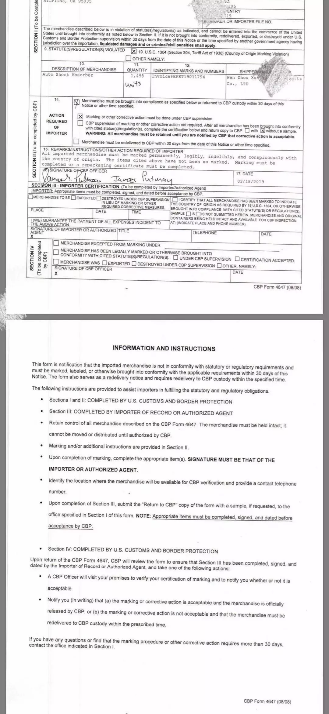
海关的官方通知文件

勿以善小而不为,只有从细节做起,跨境电商出货才能更稳定更安全,也更节约成本。

很多人不把这小小“MADE IN CHINA”标签当回事,结果吃了大亏。
此前就有一家企业出口到美国,结果也是因为没有“Made in China”的标签,被美国海关勒令退回!损失来回的运输费不说,交货期也被严重耽搁!

还有一家企业,由于忘贴原产地标签,被当地海关查到了,被处以4000美金的罚金!

根据美国消费品安全法案(CPSIA),所有出口到美国的消费品都需要有2个溯源标签:
标注“MADE IN CHINA”; 标注具体的产地和批号以便和其他产品分开,出现问题后可以溯源追踪。
原产地标签必须为英文字样,必须显而易见、易于识别,标注原产地标签的方式需合理,且符合美国海关标准。美国洛杉矶口岸海关尤其严格,对不符合要求的货件经常有扣关现象。一旦因为原产地标签问题被扣关,只有两种处理方式:退运或销毁。
海关的官方通知文件

勿以善小而不为,只有从细节做起,跨境电商出货才能更稳定更安全,也更节约成本。




福建
12-12 周五











