AMZ123跨境卖家导航
拖动LOGO到书签栏,立即收藏AMZ123
俄罗斯报告

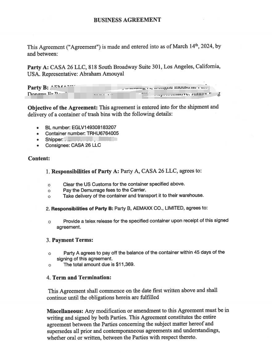
CASA 26 LLC 骗子 美国 paul@fholdings.hk

country-image
手机用户1730858509
手机用户1730858509
1年前
1649
      姓名
      CASA 26 LLC 骗子
      国 家
      美国
      邮箱
      paul@fholdings.hksearch-icon
  • 曝光原因和证据:

    这个公司CASA 26 LLC就是骗子,大家注意了。发货了,货柜到了美国不付款。说资金周转不过来,让他们先提货,并给与保函确保60天后付款,公司老板都签字了,但是后面也不回。这个公司还有一个姐妹公司ETIENNE MARCEL, LLC,做服装的。

    CASA 26 LLC 骗子美国paul@fholdings.hk

    CASA 26 LLC 骗子美国paul@fholdings.hk

免责声明
文章为作者独立观点,不代表 AMZ123 立场。如有侵权,请联系我们。
最新热门报告作者标签
26年全球宠物科技市场将达191亿美元,智能设备需求上升
AMZ123获悉,近日,据Global Market Insights及相关行业报告显示,全球宠物科技市场预计将从2026年的191亿美元增长至2035年的529亿美元,复合年增长率(CAGR)预计达12%。该行业正通过人工智能(AI)、物联网(IoT)以及先进健康监测技术的融合实现转型,推动宠物健康与安全管理方式的根本变化。全球宠物科技市场增长主要受宏观经济与技术因素共同推动。全球宠物数量持续增加、家庭收入上升以及宠物消费支出增长,为市场扩展提供基础。根据《2024全球宠物主人研究》,全球宠物数量已超过10亿,仅美国、巴西、欧盟和中国的犬猫数量就约达5亿只。
GMV超600亿美元!多种趋势正重塑印度电商市场格局
AMZ123获悉,近日,贝恩发布了2025年印度在线购物趋势报告。过去十年,印度电商市场迅速发展,已成为全球电商的重要力量。一、印度电商市场现状1. 市场规模与增长趋势印度电商市场在过去几年持续扩张,跃居全球第二大线上购物市场,线上购物人群已超过2.7亿,2025年商品交易总额(GMV)将达600亿美元。受新冠疫情结束后的宏观经济和消费压力影响,消费者可自由支配支出下降,2025年印度电商市场增长率放缓至10%–12%,远低于20%的平均增长率。消费增长率也从2017–2019年的约11%下降至2022–2025年的约8%,这直接影响了电商的增速。长期来看,印度电商市场仍具备强劲增长潜力。
保加利亚加入欧元区,跨境电商交易更便捷
AMZ123获悉,近日,据外媒报道,保加利亚已于2026年1月1日正式加入欧元区。这意味着,欧元已成为保加利亚的官方货币,并成为第21个欧元区成员国,为跨境电商带来了新发展机遇。此前,由于货币兑换和汇率波动问题,跨境卖家在保加利亚开展线上业务存在一定障碍。随着欧元的普及,这些障碍被消除,跨境电商卖家可更便捷地向保加利亚消费者销售商品。数据显示,保加利亚的电商发展相对滞后。2025年,该国线上零售收入约为14亿欧元。与西欧市场相比,保加利亚在线购物的普及率仍处于较低水平。例如,在保加利亚东南部的Yugoiztochen地区,2024年频繁网购的消费者比例为21.7%,而荷兰乌得勒支省同期数据为91.5%,差距明显。
巴西25年圣诞至新年期间电商销售达108亿雷亚尔
AMZ123获悉,近日,根据Confi Neotrust的研究显示,巴西电商在2025年圣诞至新年期间表现活跃,从12月19日至31日的总销售额达到108亿雷亚尔,同比增长18.7%。完成订单总数为3720万笔,同比增长22.5%,而平均订单金额为290.3雷亚尔,同比下降3.1%,显示出消费者购买频次上升,但单笔消费金额略有下降的趋势。在圣诞周(12月19日至25日)期间,电商交易额达59亿雷亚尔,同比增长14.2%。节后至新年前的6天(12月26日至31日)销售额为48亿雷亚尔,同比增幅达24.8%,增幅更为显著。
TikTok Shop美区物流政策更新,卖家集体破防
不达标账期延后31天、每单扣5美元……TikTok美区物流迎来重磅更新!
25年全球航空货运量同比增长4%,电商需求承压
AMZ123获悉,近日,行业分析机构Xeneta的数据显示,全球航空货运在经历波动后,于2025年末表现出较强韧性。数据显示,2025年12月,全球航空货运量同比增长6%,推动全年可计费重量实现4%的同比增长。分析指出,年末需求超出预期,反映出在供应链扰动和经济不确定性背景下,货主持续将部分货量转向更具时效性和稳定性的航空运输。尽管需求表现稳健,但价格走势并未同步走强。2025年下半年以来,航空货运运价整体承压。2025年12月,全球平均航空货运价格同比下降4%,降至每公斤2.83美元,延续了此前数月的下行趋势。即便在12月需求增速超过运力5%的背景下,价格仍未回升,仅显示跌幅有所收窄,但尚未出现反转迹象。
欧洲本土账号避坑与选择
三角鹿跨境,陪你走好跨境每一步。在跨境电商领域,账号安全是业务基石。而面对市场上琳琅满目的“本土账号”,很多卖家很难分辨其中差异与潜在风险。为帮助大家清晰认知、理性选择,我们三角鹿将目前主流的欧洲亚马逊本土账号进行系统梳理与细分,并明确各类账号的适用场景与核心风险,助你找到最适合自己的那一款。1三大类账号详解:从铺货到品牌出海第一大类:外国法人注册的北爱、英国或者其他欧盟公司此类账号注册主体为欧洲公司(如北爱、英国或其他欧盟公司),但法人国籍与公司注册地不符,主要分为以下三小类:1、第三世界国家法人注册的北爱/英国公司这也是目前市场上数量较多的一类,也是通过正规渠道注册的。
年净赚超6亿!深圳大卖将二次上市
在全球消费电子产业加速迭代、资本市场互联互通持续深化的背景下,来自深圳的消费电子大卖绿联科技的资本布局再次迈出了关键一步:拟冲击“A+H” 双平台上市。AMZ123获悉,2025年12月27日,深圳市绿联科技股份有限公司(以下简称“绿联科技”)发布公告称,公司董事会已审议通过赴港上市议案,拟发行境外上市股份(H 股)并申请在香港联合交易所有限公司主板上市(以下简称“本次发行上市”)。目前,绿联科技已聘请容诚香港作为本次发行上市的审计机构,各项筹备工作紧锣密鼓推进,但本次发行的具体细节,如发行规模、时间和募集资金用途等尚未最终确定。
亚马逊调整评论规则,不同功能的变体将单独计算评价
AMZ123获悉,近日,亚马逊宣布,将对产品变体之间的评论共享机制进行调整,以提升评论准确性并帮助消费者做出更充分的购买决策。按照现行规则,不同规格或配置的产品即使在功能和参数上存在明显差异,仍可能共享同一组评论。但自2026年2月12日起,亚马逊将不再沿用这一做法,仅允许功能差异较小的变体之间共享评论。根据亚马逊公布的说明,未来只有在不影响产品功能的情况下,评论才会在变体之间显示。若不同变体在功能、使用体验或核心规格上存在显著差异,相关评论将不再合并展示,这可能直接影响单个变体的星级评分和评论数量。该调整旨在避免消费者因评论混用而产生误判。
重磅更新!亚马逊变体新规2月12日实施!
亚马逊变体评论规则发生调整!
又一深圳货代出事了?订单清关后失联
2025年末的那批异常订单,就这么被一路拖进了2026。AMZ123获悉,近日有卖家在社群发帖求助称,其通过深圳市欧X通发出的欧洲空派货物,超过50天仍未被末端提取,物流信息长期无更新。据其晒出的截图信息,该票货物2025年11月5日入库、11月6日发出,随后轨迹显示:11月21日已清关放行,11月27日已交后端派送快递。但自“交后端”节点之后,物流轨迹便持续断更,直至卖家发帖时,已接近50天未见新的扫描记录。更令卖家焦虑的是,沟通并未带来确定进展。该卖家称,后续线路一度调整为联邦快递(FedEx),但截至目前仍未出现提取扫描;其向欧X通客服咨询后,对方仅回复“将核实”,却迟迟未给出明确处理进度与时间表。
搜索量激增,10款宠物产品在亚马逊月销过万
AMZ123获悉,近日,亚马逊各类产品搜索量增长显著,以下10款产品在亚马逊上销量表现突出,深受消费者欢迎。1. 宠物湿巾预计销售额:137.07万美元/月销量:80,000+星级评分:4.6好评数量:61,172+图源:亚马逊产品描述:宠物湿巾适用于猫狗日常清洁,可用于擦拭爪部、身体表面及局部污渍,作为洗澡间隔期的补充清洁方式。产品采用加厚纹理设计,在保证柔软度的同时提升清洁效率,配方中加入多种植物舒缓成分,避免刺激皮肤。无酒精、低敏特性使其适合频繁使用,满足日常外出或居家护理需求。品牌介绍:Earth Rated 是一家成立于 2009 年的加拿大宠物用品品牌,以环保理念和实用设计著称。
本周五裁定!美对华关税或降20%
AMZ123获悉,本周五(1月9日),美国最高法院将对前总统特朗普在任期内依据《国际紧急经济权力法》(IEEPA)实施的全球关税政策作出最终裁决。此次裁决主要针对以打击芬太尼为由对中国等国加征的10%“芬太尼关税”,以及基于所谓“对等”原则实施的10%—50%不等的额外关税。该关税政策自出台以来便在美国国内面临多重法律挑战。美国国际贸易法院与联邦巡回上诉法院此前均裁定,以IEEPA为依据加征关税“超越了总统权限”,属越权行为。2025年11月最高法院进行口头辩论时,多数大法官也对政府方论点提出质疑。多家市场机构预测,关税政策被推翻的概率较高。
特朗普批准新法案,拟对中国等购买俄罗斯石油国家征税
AMZ123获悉,近日,美国参议员林赛·格雷厄姆表示,美国总统唐纳德·特朗普已批准一项跨党派俄罗斯制裁法案,该法案拟对继续购买俄罗斯石油的国家,包括印度、中国和巴西,实施经济制裁。根据该法案提案,美国对所有从俄罗斯进口的商品和服务征收的关税将至少提高至原价值的500%。此举旨在对美国认定为“助长普京战争机器”的国家施加经济压力,以应对乌克兰持续的冲突。该法案有望在下周进行跨党派投票表决,并可能对全球能源贸易格局产生重要影响。这项名为《2025年制裁俄罗斯法案》的立法提案还包括对与俄罗斯相关的个人和实体实施广泛惩罚措施,其中最显著的一条为对所有俄罗斯进口商品和服务加征至少500%的关税。
年净赚超6亿!深圳大卖将二次上市
在全球消费电子产业加速迭代、资本市场互联互通持续深化的背景下,来自深圳的消费电子大卖绿联科技的资本布局再次迈出了关键一步:拟冲击“A+H” 双平台上市。AMZ123获悉,2025年12月27日,深圳市绿联科技股份有限公司(以下简称“绿联科技”)发布公告称,公司董事会已审议通过赴港上市议案,拟发行境外上市股份(H 股)并申请在香港联合交易所有限公司主板上市(以下简称“本次发行上市”)。目前,绿联科技已聘请容诚香港作为本次发行上市的审计机构,各项筹备工作紧锣密鼓推进,但本次发行的具体细节,如发行规模、时间和募集资金用途等尚未最终确定。
TikTok卖家做“预制美妆”生意,已月入450万+
小红书爆火的“印章眼线”,在TikTok上卖了18万单!
《中国跨境卖家全球化布局白皮书》PDF下载
随着国际贸易环境的变化和全球电商市场的快速发展,对于出海电商企业来说,面临的真正挑战并非复杂性,而是不确定性。多元化是抵御不确定性的重要手段。在全球关键商业枢纽建立本地运营能力,正成为越来越多中国出海企业的选择。
《TikTok Shop 2024-2025家居品类分析报告(欧美)》PDF下载
在家居相关类目市场(包含居家日用、家具、家电、家纺布艺、家装建材一级分类),欧美市场整体的增长趋势显著居家日用与家电是普遍的核心品类,但家具与家装建材的线上渗透率因国而异,美国已高度成熟,而欧洲及墨西哥仍有较大发展空间。在第四季度消费旺季展现出较高的增长趋势,说明该类目受促销影响较大。
《TikTok Shop 2024-2025家居品类分析报告(东南亚)》PDF下载
分析TikTok Shop泰国、印尼、越南等东南亚主流市场短视频及直播电商数据,选取TikTok与家居品类相关居家日用、家具、家电、家纺布艺、家装建材的内容进行分析报告。
《2026年亚马逊市场趋势报告》PDF下载
亚马逊的市场网络已经达到一个拐点,在那里存在非凡的机会,同时也存在前所未有的进入壁垒。这项对代表亚马逊卖家生态系统99%的11个核心市场的分析揭示了决定2026年卖家、代理商和服务提供商成功模式的根本性转变。
《2025年第4季度Shopee手机配件选品报告》PDF下载
1.手机配件 台湾站点市场分享 2 手机配件 热搜词 3 手机配件 热卖品牌排名 4手机配件 各站点热销型号分享
《2025中国品牌全球信任指数》PDF下载
当下,中国企业的全球化征程已从「可选项」深化为「必选项」,成为关乎长远发展的生命线。凭借强大的制造能力、创新的技术与无可挑剔的高性价比,中国产品正以前所未有的速度与广度赢得全球消费者的信赖。这第一波浪潮,以「硬实力」成功叩开了国际市场的大门。然而,对于计划长期扎根异域的中国企业,实现从「走出去」到「走进去」的跨越,构建持久不衰的品牌大厦,必须将ESG这一「软实力」提升至战略核心地位,使之与卓越产品并行,成为品牌建设的双引擎。
《2026年宏观经济十大趋势展望》PDF下载
回顾2025年,中国宏观经济表现稳中向好,经济运行存在两大亮点。其一,外需在美国关税逆风中保持韧性。得益于贸易伙伴多元化、出口产品国际竞争力提升以及全球人工智能产品需求高涨。其二,国内产业升级节奏加快。伴随年初我国在人工智能领域取得的技术突破,以及政府提高对民营经济、科技创新的关注,2025年高技术产业投资保持较高热度,经济新动能加速培育。
《2025中国企业出海高质量发展报告:泰国篇》PDF下载
近年来,中国企业的国际化发展正迎来历史性机遇期。在国内市场方面,传统产业存量市场竞争日趋激烈,促使企业积极寻求海外市场突破;RCEP等区域自由贸易协定的深入实施,为企业拓展国际市场提供了制度性保障和政策红利。面对地缘政治紧张加剧导致的市场准入受限,以及国际保护主义抬头引发的歧视性监管、贸易壁垒高筑等挑战,中国企业迫切需要通过多元化布局规避单点风险、开拓替代市场,因此出海意愿持续增强。
亚马逊公告
AMZ123旗下亚马逊公告发布平台,实时更新亚马逊最新公告,致力打造最及时和有态度的亚马逊公告栏目!
跨境电商干货集结
跨境电商干货集结,是结合亚马逊跨境电商卖家交流群内大家在交流过程中最常遇到的问题,进行收集整理,汇总解答,将会持续更新大家当前最常遇见的问题。欢迎大家加入跨境电商干货集结卖家交流群一起探讨。
亚马逊全球开店
亚马逊全球开店官方公众号,致力于为中国跨境卖家提供最新,最全亚马逊全球开店资讯,运营干货分享及开店支持。
AMZ123选品观察员
选品推荐及选品技巧分享。
亿邦动力网
消除一切电商知识鸿沟,每日发布独家重磅新闻。
跨境科普达人
科普各种跨境小知识,科普那些你不知道的事...
欧洲电商资讯
AMZ123旗下欧洲跨境电商新闻栏目,专注欧洲跨境电商热点资讯,为广大卖家提供欧洲跨境电商最新动态、最热新闻。
北美电商资讯
AMZ123旗下北美跨境电商新闻栏目,专注北美跨境电商热点资讯,为广大卖家提供北美跨境电商最新动态、最热新闻。
咨询
官方微信群
官方客服

扫码添加,立即咨询

加群
官方微信群
官方微信群

扫码添加,拉你进群

更多
订阅号服务号跨境资讯
二维码

为你推送和解读最前沿、最有料的跨境电商资讯

二维码

90% 亚马逊卖家都在关注的微信公众号

二维码

精选今日跨境电商头条资讯

回顶部